您的位置首页百科问答

地球与月球之间的洛希极限有多大?

地球与月球之间的洛希极限有多大?

的有关信息介绍如下:

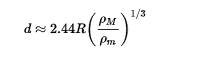
对于一个完全刚体、圆球形的卫星,假设其物质都是因为重力才合在一起的,且所环绕的行星亦是圆球形,并忽略其他因素如潮汐变形及自转。洛希极限为

地球与月球之间的洛希极限有多大?

对于是流体的卫星,潮汐力会拉长它,令它变得更易碎裂。洛希极限为

地球与月球之间的洛希极限有多大?

通过计算可得地球与月球的洛希极限大约为1.35万公里。