二重积分∫∫dxdy是多少啊??
的有关信息介绍如下:该二重积分的计算只需要用到积分的几何意义,被积函数为 1 的二重积分的值等于积分区域的面积,即

其中,D 为积分区域S 的面积。
第一张图中,二重积分的计算:


第二张图中,二重积分的计算与上面形式相同。
扩展资料:
在空间直角坐标系中,二重积分是各部分区域上柱体体积的代数和,在xoy平面上方的取正,在xoy平面下方的取负。某些特殊的被积函数f(x,y)的所表示的曲面和D 底面所为围的曲顶柱体的体积公式已知,可以用二重积分的几何意义的来计算。
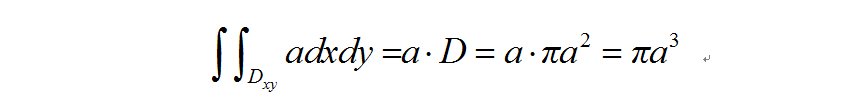
例如二重积分:

其表示的是以上半球面为顶,半径为a的圆为底面的一个曲顶柱体,这个二重积分即为半球体的体积,即

可以得到结论:在二重积分的计算中,运用二重积分的几何意义可以快速准确地算出积分数值。
参考资料:
1、百度百科-二重积分
2、百度百科-定积分



