如何计算出平均值?
的有关信息介绍如下:平均数又称均值,是最常用的一个数据代表值,平均数既可以描述一组数据本身的整体平均情况,也可以用来作为不同组数据比较的一个标准。
根据样本数据的不同格式,这里介绍两种常见的算术平均数的计算方法,一种是简单算术平均数,另一种是加权算术平均数。
在进行数据分析时,通常有两种数据格式。一种是常规格式(非加权格式),另外一种是加权数据格式。分别说明如下:
常规数据格式→简单算术平均数
第一种常规格式(非加权格式),一行代表一个样本,如果有100个样本即为100行;一列代表一个属性;这类格式最为常见,而且此类数据格式可以做任何的分析。因为其携带着所有最原始的数据信息。类似如下表:

此时使用简单算术平均数计算,公式:

这就是我们小学学的计算平均值的方法,把要算的这组数据的每个数相加,然后除以样本数。
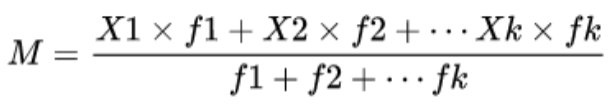
加权数据格式→加权算术平均数
比如收集100个样本,最终男性40名,女性60名,录入的数据为汇总统计数据,单独一列(或多列)表示各类别的样本数量;如下表:

这种数据格式就不是原始的数据,而是经过分组整理了,使用加权算术平均数计算,公式:

极端值情况
从公式可以看出,平均值的计算与样本的每一个数值都有关,所以比较有代表性,但是在数据没有极端值的情况下,极端值指的是在一组数据里的最大值或最小值,如果出现极端值,平均数就有可能不适合描述整体数据的集中情况了。
比如,一个班的五位学生考试成绩分别为:10 70 80 90 100。
根据数据格式,算一下它的算术平均值:
M(5位学生)=(10+70+80+90+100)/5
=70
这五位学生的算术平均值是70分,观察原始数据,有四位学生的分数大于或等于70分,只有一位学生分数低于70分,判断出来,用70分来代表这组数据的集中情形是不恰当的。再观察原始数据,是10这个极端值,一下拉低了整个平均分,所以我们去掉这个10分的考试成绩再算一下剩下四位学生的算术平均值:
M(四位学生)= (70+80+90+100)/4
=85
85分就可以比较好的代表4位学生的集中趋势了,两位同学分数低于85,两位高于85分。
可以使用SPSSAU进行快速分析:





