双曲线的焦点怎么求?
的有关信息介绍如下:1、焦点在x轴(-c,0)、(c,0);焦点在y轴:(0,-c)、(0,c)
双曲线有两个焦点,焦点的横(纵)坐标满足c²=a²+b²。
2、渐近线方程
焦点在y轴上的双曲线的渐近线为:

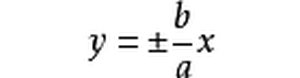
焦点在x轴的双曲线的渐近线为:

3、双曲线的标准方程为:
(1)焦点在X轴上时为:


(2)焦点在Y轴上时为:

扩展资料
双曲线在实际中的应用有通风塔,冷却塔,埃菲尔铁塔,广州塔等。
双曲线出现在许多方面:
1、日后的阴影的路径。
2、开放轨道(与闭合的椭圆轨道不同)的形状,例如在行星的重力辅助摆动期间航天器的轨道,或更一般地,超过最近行星的逃逸速度的任何航天器。
3、一个单一的彗星(一个旅行太快无法回到太阳系)的路径。
4、亚原子粒子的散射轨迹(以排斥而不是吸引力作用,但原理是相同的)。
5、在无线电导航中,当距离到两点之间的距离而不是距离本身可以确定。
参考资料来源:百度百科-双曲线



