您的位置首页生活百科

实数计算50题,二元一次方程组30题,一元一次不等式组20题。题目难度适中,只要给我题目就行,不能

实数计算50题,二元一次方程组30题,一元一次不等式组20题。题目难度适中,只要给我题目就行,不能

的有关信息介绍如下:

同学,你要的我都找出来了,希望可以帮到你,望采纳!我找了很久哦

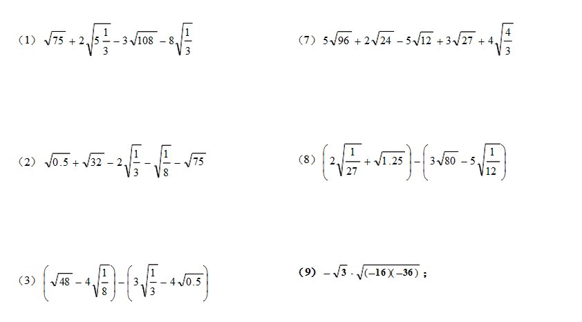
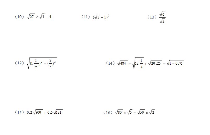
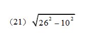
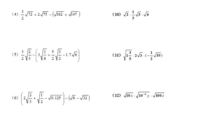
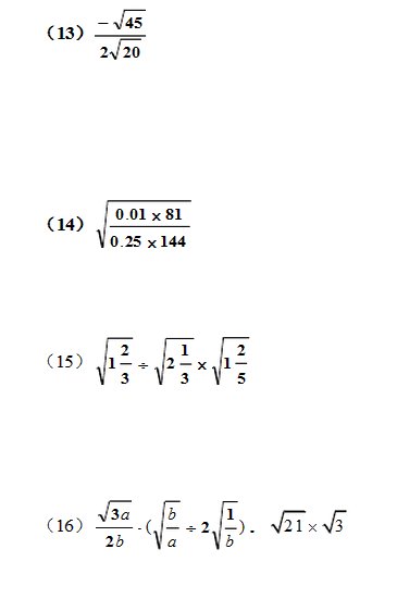
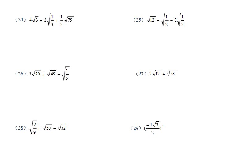
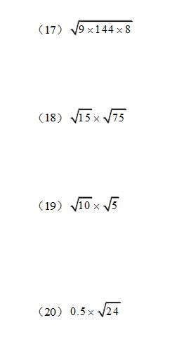
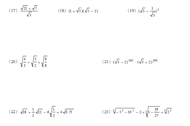
实数计算50题如下

实数计算50题,二元一次方程组30题,一元一次不等式组20题。题目难度适中,只要给我题目就行,不能

实数计算50题,二元一次方程组30题,一元一次不等式组20题。题目难度适中,只要给我题目就行,不能

实数计算50题,二元一次方程组30题,一元一次不等式组20题。题目难度适中,只要给我题目就行,不能

实数计算50题,二元一次方程组30题,一元一次不等式组20题。题目难度适中,只要给我题目就行,不能

实数计算50题,二元一次方程组30题,一元一次不等式组20题。题目难度适中,只要给我题目就行,不能

实数计算50题,二元一次方程组30题,一元一次不等式组20题。题目难度适中,只要给我题目就行,不能

实数计算50题,二元一次方程组30题,一元一次不等式组20题。题目难度适中,只要给我题目就行,不能

实数计算50题,二元一次方程组30题,一元一次不等式组20题。题目难度适中,只要给我题目就行,不能

实数计算50题,二元一次方程组30题,一元一次不等式组20题。题目难度适中,只要给我题目就行,不能

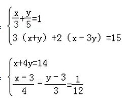
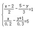
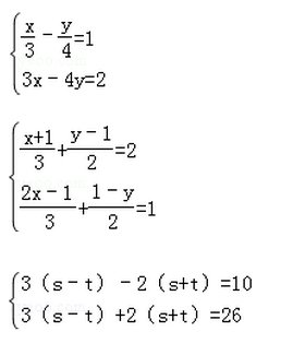
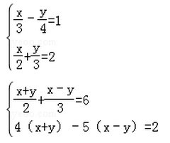
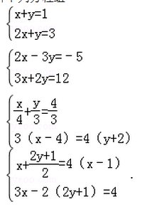
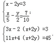
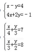
二元一次方程组30题   

实数计算50题,二元一次方程组30题,一元一次不等式组20题。题目难度适中,只要给我题目就行,不能                     实数计算50题,二元一次方程组30题,一元一次不等式组20题。题目难度适中,只要给我题目就行,不能

实数计算50题,二元一次方程组30题,一元一次不等式组20题。题目难度适中,只要给我题目就行,不能        实数计算50题,二元一次方程组30题,一元一次不等式组20题。题目难度适中,只要给我题目就行,不能实数计算50题,二元一次方程组30题,一元一次不等式组20题。题目难度适中,只要给我题目就行,不能       实数计算50题,二元一次方程组30题,一元一次不等式组20题。题目难度适中,只要给我题目就行,不能

实数计算50题,二元一次方程组30题,一元一次不等式组20题。题目难度适中,只要给我题目就行,不能      实数计算50题,二元一次方程组30题,一元一次不等式组20题。题目难度适中,只要给我题目就行,不能

实数计算50题,二元一次方程组30题,一元一次不等式组20题。题目难度适中,只要给我题目就行,不能                 实数计算50题,二元一次方程组30题,一元一次不等式组20题。题目难度适中,只要给我题目就行,不能实数计算50题,二元一次方程组30题,一元一次不等式组20题。题目难度适中,只要给我题目就行,不能

同学,你要的东西太多了,我的图片上传不去了,只能上传这么多

你要的加我的qq:2434063150     答案:林丹阳