数列{An}的前n项和为Sn,满足Sn=2nAn+1-3n^2-4n,n属于N*,14年广东高考理科19题有木有大神在啊 求解答
的有关信息介绍如下:广东省2014年高考理科数学第19题答案如下:

(1)首先,由Sn的公式可以很容易的求出a1,因为S1=a1,带入到式子中,a1=2a2-7,同时,将n=2代入式子,则S2=a1+a2=4(15-a1-a2)-20,则a1+a2=8,将两式子联立,得a1=3,a2=5,因S3=15,故a3=7,所以a1=3、a2=5、a3=7。以上是第一问的标准解法。
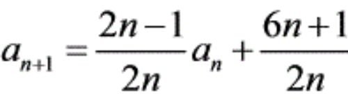
(2)第二问是本题的难点,在解决数列问题时,有很多公式和技巧可以使用,本题则应用了最为普遍的解法:Sn-Sn-1=an,同样地,S(n+1)-Sn=a(n+1),将n+1和n代入Sn的通项公式中,得到如下图的公式:

很显然的,这个式子不是我们需要的通项公式,接下来我们就要利用其他条件了,观察第一问,根据a1=3、a2=5、a3=7,我们不难猜想,an=2n+1,但是猜想终归是猜想,我们需要进行证明,证明采用一种比较常规的证明方法:数学归纳法。
我们分为两种情况进行证明:①当n=1时,代入上面图片的式子(将图片中的式子命名为式子a)中,发现式子a符合2n+1这个式子,即证明当n=1时,确实满足an=2n+1。
②仅证明n=1是不可以的,我们需要证明当n=k(k属于n*时)仍然符合式子a,首先我们假设,n=k符合,然后证明n=k+1符合即可,假设n=k符合,则an=2k+1,那么这就是已知条件了,代入式子a,很容易导出,a(k+1)=2k+3=2(k+1)+1,假设n=k符合式子a,证明了n=k+1符合式子a,也就证明了an=2n+1是通项公式,本题作答结束。
本题运用的难点思想就是,需要假设n=k成立,然后证明n=k+1成立,可以这样想,当这个式子不断往后加1都是成立的,就说明这个式子不是只在某一部分符合,就像我们已知了a1、a2,a3,那么证明a4成立,然后已知a4成立,再证明a5成立,这样无穷尽的证明,发现只要k成立,k+1就成立,那么这个式子就是一个符合要求的通项公式。



